Вернуться к содержанию учебника
Выберите год учебника
№2.316 учебника 2023-2024 (стр. 88):
Вычислите:

№2.316 учебника 2021-2022 (стр. 81):
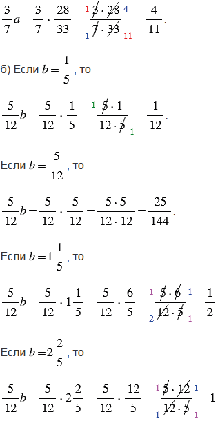
Найдите значение выражения:

№2.316 учебника 2023-2024 (стр. 88):
Вспомните:
№2.316 учебника 2021-2022 (стр. 81):
Вспомните:
№2.316 учебника 2023-2024 (стр. 88):


Пояснения:
Чтобы найти дробь от числа (часть от числа), нужно умножить число на эту дробь.
Чтобы умножить обыкновенную дробь на натуральное число, нужно ее числитель умножить на это число, а знаменатель оставить без изменения.
Произведением двух дробей является дробь, числитель которой равен произведению числителей, а знаменатель - произведению знаменателей.
Чтобы вычисления были проще, не надо перемножать сразу, лучше сделать это после сокращения. Сократить дробь - значит, разделить ее числитель и знаменатель на их наибольший общий делитель.
Также помним, дробь, у которой в знаменателе стоит единица, равна своему числителю.
№2.316 учебника 2021-2022 (стр. 81):


Пояснения:
Чтобы найти значение буквенного выражения, при заданном числовом значении букв, нужно в это выражение вместо букв подставить числа, им соответствующие, и выполнить вычисления.
Чтобы выполнить умножение смешанных чисел, нужно записать эти числа в виде неправильных дробей, а затем воспользоваться правилом, согласно которому, произведением двух дробей является дробь, числитель которой равен произведению числителей, а знаменатель - произведению знаменателей.
Чтобы преобразовать смешанное число в неправильную дробь, надо целую часть числа умножить на знаменатель дробной части и к полученному произведению прибавить числитель дробной части; эту сумму записать как числитель неправильной дроби, а в ее знаменатель записать знаменатель дробной части смешанного числа.
Чтобы вычисления были проще, не надо перемножать сразу, лучше сделать это после сокращения.
Сократить дробь - значит, разделить ее числитель и знаменатель на одно и то же число (наибольший общий делитель).
Если при вычислениях получилась неправильная дробь (числитель больше знаменателя), ее нужно преобразовать в смешанное число. Чтобы неправильную дробь, числитель которой нацело не делится на знаменатель, преобразовать в смешанное число, надо числитель разделить на знаменатель; полученное неполное частное записать как целую часть смешанного числа, а остаток - как числитель его дробной части.
Вернуться к содержанию учебника